In physics, mass generates a gravitational field and interacts with it. Similarly, an electric charge creates an electric field and experiences a force within it. When electric charges move (i.e., when they create a current), they interact with a magnetic field. Therefore, it is predictable that moving charges (electric current) produce a magnetic field.
In this context, the Biot-Savart Law calculates how a current generates a magnetic field. This law is an experimental law that mathematically defines the magnetic field produced at a specific point by a small segment of a current-carrying wire. The law is named after Jean-Baptiste Biot and Félix Savart, who studied the interactions between magnetic fields and current-carrying wires. experimental law

Jean-Baptiste Biot ve Félix Savart
Mathematical Expression of the Biot-Savart Law
The magnetic field dB produced at point P by a small length element dl of a current-carrying wire is given by:
Where:
- μ0 is the vacuum permeability, defined as μ0=4π×10−7 T⋅m/A in SI units.
- I is the electric current flowing through the wire [A].
- dl is a small element of the wire, aligned with the direction of the current.
- r is the distance from the current element to the point where the magnetic field is calculated [m].
- The × denotes the vector cross product.
The direction of the magnetic field is determined by the right-hand rule: when the thumb points in the direction of the current, the curled fingers indicate the direction of the magnetic field.
To find the total effect of the magnetic field dB, the generalized Biot-Savart Law is obtained by integrating all current elements:

This formula is used to calculate the total magnetic field produced by a current-carrying wire.
Applications and Examples of the Biot-Savart Law
The Biot-Savart Law is commonly used to calculate magnetic fields for various current geometries. Some common applications include:
- Magnetic Field of a Small Current Element: The magnetic field produced by a small segment of current-carrying wire at a specific point is calculated using the formula above. This method is more accurate when the wire's length is very small compared to the distance from the point where the field is calculated.
- Magnetic Field of a Circular Current Loop: If a wire is bent into a circular loop with radius R and carries a current I, it produces a magnetic field proportional to the angle θ swept by the loop. The magnetic field at the center of the loop is calculated by summing the effects of all the small current elements along the loop.
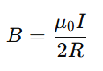
- Magnetic Field of a Complete Circular Current Loop: If the wire forms a complete circle (θ=2π), the magnetic field at the center is given by:

Where R is the radius of the current loop.
Advantages and Disadvantages of the Biot-Savart Law
Advantages
- Allows precise calculation of the magnetic field at a specific point.
- Provides a more general method when Ampère's Law cannot be applied (e.g., in cases of irregular current distributions).
- Can be applied to specific geometries, such as circular currents or short current elements.
Disadvantages
- The vector integral involved can make calculations difficult for complex systems.
- In some symmetric problems, Ampère's Law offers a more practical solution.
The Biot-Savart Law is a fundamental law used to calculate the magnetic field produced by an electric current. It is particularly suitable for cases involving small current elements or circular current loops. However, due to its complexity, alternative methods such as Ampère's Law may be preferred for some special cases. Nevertheless, the Biot-Savart Law has a wide range of applications in magnetic field calculations and plays a fundamental role in the study of electromagnetism.


