Günümüzde çok kriterli karar verme (ÇKKV) problemleri, farklı sektörlerde karmaşık ve çok boyutlu karar süreçlerinin yönetilmesinde temel araçlardan biri haline gelmiştir. Bu süreçlerde kriterlerin önem düzeylerinin belirlenmesi kritik bir adımdır. CRITIC (Criteria Importance Through Intercriteria Correlation) yöntemi, kriter ağırlıklarının objektif olarak belirlenmesini sağlayan etkili ve veri temelli bir tekniktir.
CRITIC Yönteminin Temel Adımlar
CRITIC yöntemi, karar matrisi verilerindeki kriterlerin hem varyasyonunu hem de kriterler arası ilişkileri dikkate alarak ağırlıklandırma yapar. Yöntemin temel adımları aşağıdaki gibidir:
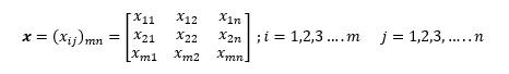
Başlangıç karar matrisi:

Karar Matrisi (Akçakanat vd., 2018)
Normalize Etme: Karar matrisi, farklı ölçü birimlerine sahip kriterlerin karşılaştırılabilmesi için normalize edilir. Genellikle min-max yöntemi kullanılır.

Normalizasyon (Akçakanat vd., 2018)
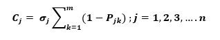
Standart Sapmanın Hesaplanması: Her kriterin standart sapması hesaplanır. Standart sapma, kriterin sağladığı bilgi miktarının bir göstergesidir; yüksek standart sapma, kriterin karar sürecinde daha ayırt edici olduğunu gösterir.

Sapma Değeri (Akçakanat vd., 2018)
Korelasyon Matrisi Oluşturma: Kriterler arasındaki korelasyon katsayıları hesaplanır. Bu, kriterler arasındaki bağımlılığı ölçer.

Kriterlerin ilişki derecesi (Akçakanat vd., 2018)
Bilgi Miktarının Hesaplanması: Her kriter için bilgi miktarı, standart sapma ile kriterlerin diğer kriterlerle olan korelasyonunun birleşimi olarak hesaplanır. Korelasyonların toplamı, kriterin özgün bilgi sağlama kapasitesini yansıtır.

Bilgi miktarının hesaplanması ((Akçakanat vd., 2018)
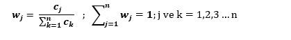
Ağırlıkların Belirlenmesi: Her kriterin ağırlığı, hesaplanan bilgi miktarının toplam bilgi miktarına oranı olarak belirlenir.

Kriter ağırlıklarının hesaplanması (Akçakanat vd., 2018)
Bu süreç, kriterlerin hem çeşitliliğini hem de karşılıklı bağımlılıklarını dikkate alarak daha nesnel ve doğru ağırlık tayini sağlar.
CRITIC Yönteminin Tercih Edildiği Problemler
CRITIC yöntemi, özellikle aşağıdaki problem türlerinde tercih edilmektedir:
Çok Kriterli Karar Verme Problemleri
ÇKKV problemlerinde, kriterlerin önemi genellikle karar vericinin sübjektif yargılarına dayanır. CRITIC, bu subjektifliği azaltarak veri odaklı ağırlıklar sağlar ve bu nedenle tedarik zinciri yönetimi, yatırım kararları, tedarikçi seçimleri gibi alanlarda kullanılır.
Kriterler Arası Bağımlılığın Yüksek Olduğu Sistemler
Kriterler arasında yüksek korelasyon olan durumlarda, bazı kriterlerin bilgi içeriği diğerleri tarafından gölgelenebilir. CRITIC, bu durumu dikkate alarak özgün bilgi sağlayan kriterlere ağırlık verir.
Sürdürülebilirlik ve Çevresel Değerlendirme
Çevresel karar verme süreçlerinde, farklı kriterler arasında karmaşık ilişkiler vardır. CRITIC, enerji projeleri, çevresel risk değerlendirmesi ve sürdürülebilirlik analizlerinde objektif kriter ağırlığı belirlemek için tercih edilir.
Finansal ve Ekonomik Analizler
Finansal performans değerlendirmelerinde, çok sayıda finansal gösterge kullanılır. CRITIC yöntemi, bu göstergelerin birbirleriyle olan ilişkisini göz önünde bulundurarak daha objektif değerlendirme yapar.
Teknoloji ve Ürün Değerlendirme
Yeni teknolojilerin veya ürünlerin değerlendirilmesinde, çok sayıda teknik ve ticari kriter göz önünde bulundurulur. CRITIC, kriterler arası korelasyonları kullanarak bu kriterlerin ağırlıklarını belirler.
CRITIC yöntemi, çok kriterli karar verme süreçlerinde kriterlerin objektif ağırlıklandırılmasını sağlayan etkili bir araçtır. Kriterlerin standart sapması ve karşılıklı korelasyonunu dikkate alması, karar süreçlerindeki subjektifliği azaltarak güvenilir sonuçlar sunar. Özellikle kriterler arası bağımlılığın yüksek olduğu, karmaşık sistemlerde ve sürdürülebilirlik, finans, teknoloji değerlendirmesi gibi çeşitli alanlarda yaygın şekilde tercih edilmektedir.

