İkizler Paradoksu (Twin Paradox), Albert Einstein’ın 1905 yılında geliştirdiği özel görelilik kuramına dayanan, zamanın mutlak değil, gözlemcinin hareketine bağlı olarak değişkenlik gösterdiğini ortaya koyan bir düşünce deneyidir. Buna göre zaman, evrensel ve sabit bir ölçüm birimi değildir; gözlemcinin hızına ve hareketine bağlı olarak farklı oranlarda ilerleyebilir. Bu olguya zaman genleşmesi (time dilation) adı verilir. Zaman genleşmesi, farklı referans sistemlerinde bulunan gözlemcilerin birbirlerinin saatlerini farklı şekilde ölçmesiyle sonuçlanır.
Her ne kadar "paradoks" olarak adlandırılsa da, bu deney özel görelilik kuramında bir çelişki ya da eksiklik olduğunu göstermez; aksine kuramın iç tutarlılığı içinde açıklanabilir bir durumdur. İkizler Paradoksu’nda, biri Dünya’da kalan, diğeri ise ışık hızına çok yakın bir hızla uzay yolculuğuna çıkan iki özdeş kardeş (ikiz) düşünülür. Bu düşünce deneyinin temelinde, uzaya çıkan ikizin geri döndüğünde Dünya’da kalan ikizden daha genç olması yatmaktadır.
Bu düşünce deneyinin ilk bakışta “paradoksal” gibi görünmesinin temel sebebi, özel görelilik kuramında hareketin göreceli olmasıdır. Her iki kardeş de diğerinin zamanının daha yavaş aktığını iddia edebilir. Oysa bu durum, uzay yolculuğuna çıkan kardeşin hızlanma, yön değiştirme ve yavaşlama gibi evrelerden geçtiği, yani eylemsiz bir referans çerçevesinde kalmadığı gerçeğiyle açıklanabilir. Bu farklılık, zamanın asimetrik şekilde ilerlemesine yol açar. Bu nedenle Einstein, söz konusu durumu bir paradoks olarak değil, özel görelilik kuramının doğal ve öngörülebilir bir sonucu olarak değerlendirmiştir.

Görsel yapay zeka tarafından oluşturulmuştur.
Özel Görelilik Teorisine Genel Bir Bakış
Özel görelilik teorisi, 1905 yılında Albert Einstein tarafından ortaya atılmıştır ve klasik fizik anlayışına alternatif bir bakış açısı sunmuştur. Bu teori, özellikle ışık hızına yakın çok yüksek hızlarda, zaman ve mekânın mutlak değil, gözlemciye bağlı olarak değişebilen büyüklükler olduğunu ileri sürmektedir. Başka bir ifadeyle, zaman ve uzunluk gibi kavramlar mutlak değil, görecelidir ve gözlemcinin hareket durumuna göre farklılık gösterebilir.
Özel görelilik teorisi iki temel ilkeye dayanır. Birinci ilke, fizik yasalarının tüm eylemsiz gözlemciler için aynı olduğudur. Eylemsiz gözlemciler, sabit hızla ve doğrusal hareket eden (ivmelenmeyen) sistemlerdir. Bu ilkeye göre, bu tür gözlemciler fiziksel olayları aynı yasalara göre açıklar. İkinci temel ilke ise, ışık hızının tüm eylemsiz gözlemciler için sabit ve aynı değerde (yaklaşık 299.792.458 m/s) ölçülmesidir. Bu durum, ışık kaynağının hızı ne olursa olsun, ışığın boşluktaki hızının her gözlemci tarafından aynı olarak algılanacağı anlamına gelir.
Bu iki temel ilkenin doğrudan sonuçları arasında zaman genleşmesi, uzunluk büzülmesi ve eşzamanlılığın göreliliği yer alır. Zaman genleşmesi, yüksek hızda hareket eden bir sistemde zamanın, durağan bir gözlemciye göre daha yavaş ilerlemesi anlamına gelir. Uzunluk büzülmesi ise, yüksek hızda hareket eden bir cismin, durağan bir gözlemci tarafından daha kısa olarak algılanmasıdır. Eşzamanlılığın göreliliği ise, iki olay bir gözlemciye göre aynı anda gerçekleşiyor gibi görünse de, başka bir gözlemciye göre bu olayların farklı zamanlarda meydana gelmiş olabileceğini ifade eder.
Özel görelilik teorisi, özellikle ışık hızına yakın hızlarda hareket eden sistemlerin davranışlarını açıklamak konusunda klasik Newton mekaniğine kıyasla daha kapsamlı ve tutarlı sonuçlar sunmaktadır. Bu teori, günümüz modern fiziğinde temel yapı taşlarından biri olarak kabul edilmektedir.
İkizler Paradoksunun Çözümü
İkizler Paradoksu, çeşitli yöntemlerle açıklanabilir ve çözülebilir. Bu çözümün temel mantığı, uzay yolculuğu yapan kardeşin gidip geri dönmesi sırasında yaşadığı hareket değişiminde yatar. O bu yolculuk boyunca yön değiştirir, hızlanır ve yavaşlar; yani ivmelenir. Özel görelilik kuramına göre, ivmelenme ve hareket değişimi, zamanın akışını doğrudan etkileyen fiziksel süreçlerdir.
Fizikte “uzay-zaman” olarak adlandırılan dört boyutlu bir sistemde, hareketsiz kalan bir gözlemci için zaman daha fazla geçer. Bir kardeşin Dünya’da sabit bir noktada kalması, uzaydakine kıyasla daha az hareketli olduğu anlamına gelir. Bu durum, dünyadaki kardeşin eylemsiz bir referans çerçevesinde kaldığını ve ivmelenmeyerek hızını sabit tuttuğunu gösterir. Zamanın en hızlı aktığı koşul hareketsizlik durumudur. Buna karşılık, hareketli nesneler için zaman daha yavaş akar.
Uzayda yolculuk yapan ikiz kardeşin, ışık hızına yakın bir hızda hareket etmesi, onun için zamanın Dünya’da kalana göre daha yavaş geçtiğini gösterir. Bu fark, yalnızca yüksek hızla hareket edilmesiyle değil, aynı zamanda uzay yolculuğu sırasında yaşanan ivmelenme süreçleriyle de açıklanabilir.
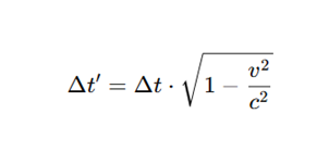
Paradoksun bir diğer çözüm yöntemi ise, özel görelilik kuramının temel bileşenlerinden biri olan zaman genleşmesi formülü ile yapılabilir. Bu formül, bir gözlemcinin referans çerçevesine bağlı olarak zamanın nasıl değiştiğini matematiksel olarak ifade eder. İlgili formül, hareketli bir sistemde geçen zamanın, sabit bir gözlemciye göre daha kısa olacağını gösterir ve bu sayede paradoks olarak adlandırılan durumun kuramsal bir çerçevede açıklanmasını sağlar.

- Δt: Dünya’da geçen süre (Dünyada kalan kardeş için)
- Δt′: Uzay gemisinde geçen süre
- v: Uzaydaki hız
- c: Işık hızı
- γ= Lorentz faktörü
Örnek hesap: Uzaya giden kardeş %80 ışık hızıyla (v=0.8c) 10 yıl boyunca uzayda yolculuk yapıyor.

Uzay gemisinde geçen süre:

Sonuç olarak uzay gemisiyle yolculuğa çıkan kardeş 6 yıl yaşlanırken Dünya'da kalan kardeşin 10 yıl yaşlanmış olduğu görülecektir. Bir diğer çözüm ise her gözlemcinin kendi referans çerçevesinde geçen süreyi, yani kendi “doğal zamanını” (öz zamanı) dikkate alarak yapılan analizdir. Bu yaklaşım, uzay-zaman geometrisini temel alır ve gözlemcilerin izledikleri yolların (dünya çizgilerinin) uzunluğuna odaklanır. Bu yöntemde, uzay-zamanda başlangıç ve bitişi tanımlayan iki nokta belirlenir. Örneğin, başlangıç noktası (0 s, 0 m, 0 m, 0 m) ve bitiş noktası (10 s, 20 m, 0 m, 0 m) olsun. Bu iki nokta, zaman ve uzay koordinatlarında belirli bir mesafeyi temsil eder. Buradaki varsayım, gözlemcilerin hepsinin t=0 anında orijinden yola çıktığı ve t=10 anında x yönünde 20 metre uzaklıktaki noktaya ulaştığıdır.
Bu iki uzay-zaman noktası arasında ulaşmanın birçok farklı yolu vardır. Örneğin, bir gözlemci x yönünde sabit hızla, saniyede 2 metre hızla ilerleyerek doğrudan doğrusal bir yol izleyebilir. Bu tür bir hareket eylemsiz hareket olarak tanımlanır; yani gözlemci yol boyunca hiçbir ivmelenmeye uğramaz. Bir başka gözlemci önce y yönünde saparak, daha sonra yönünü değiştirerek hedefine ulaşabilir. Yine başka bir gözlemci, bu iki nokta arasında kavisli bir yol (örneğin yay biçiminde bir rota) izleyerek hedef noktaya varabilir.
Her ne kadar bu gözlemcilerin hepsi dış bir gözlemciye göre aynı başlangıç ve bitiş noktalarına ulaşsalar da, izledikleri rotalar farklı olduğundan dolayı kendi ölçtükleri zamanlar, yani kendi saatleriyle kaydettikleri süreler de farklı olacaktır. Özel görelilik kuramına göre, bu iki nokta arasındaki en uzun öz zaman (yani gözlemcinin kendi saatiyle ölçtüğü en uzun süre), eylemsiz hareket eden gözlemci tarafından ölçülür. Diğer tüm gözlemciler, yol boyunca bir noktada yön değiştirip ivmelendikleri için, kendi ölçtükleri zaman dilimi daha kısa olacaktır.
Bu bağlamda, ikizler paradoksunda Dünya’da kalan kardeş, eylemsiz bir referans çerçevesinde kalır ve dünya çizgisi boyunca düz bir hat izler. Uzay yolculuğuna çıkan kardeş ise, hızlandığı, yön değiştirdiği ve tekrar yavaşladığı için eylemsiz olmayan bir rota izler. Dolayısıyla, bu kurama göre dünyada geçen zaman ölçümü uzaydakine göre daha uzun olur ve uzaydaki kardeş Dünya’ya döndüğünde burada kalanın daha fazla yaşlandığı görülür.
Bu yaklaşım, ikizler paradoksunu sezgisel ve geometrik olarak anlamaya yardımcı olurken, aynı zamanda zamanın sadece hızla değil, uzay-zamandaki rotanın yapısıyla da doğrudan ilişkili olduğunu gösterir. Kısacası bu düşünce deneyinde durağan olan kardeş daha çok yaşlanmış çünkü eylemsiz hareket etmiştir. Yolculuğu yapan kardeş ise zaman farkını daha az ölçecek yani daha az yaşlanacaktır. Bu düşünce deneyinin sonucuna ulaşmanın çeşitli yol ve metotları bulunmaktadır.
İkizler Paradoksunun Ölçülebilir Etkileri
İkizler paradoksu, günlük yaşam koşullarında doğrudan gözlemlenebilecek kadar belirgin bir etki yaratmaz. Çünkü bu paradoksun temelinde yer alan zaman genleşmesi olgusu, ancak ışık hızına yakın çok yüksek hızlarda ya da güçlü yerçekimi alanlarında ölçülebilir düzeyde ortaya çıkar. Bununla birlikte, zamanın hareketle birlikte yavaşladığını öngören bu kuramsal sonuç, modern teknolojide dolaylı biçimde ölçülebilir ve işlevsel etkiler üretmektedir.
Bu etkilerden en yaygın ve somut olanı, Küresel Konumlandırma Sistemi (GPS) uydularında gözlemlenir. GPS uyduları, yaklaşık 20.000 km yükseklikte, saatte yaklaşık 14.000 km hızla hareket ederler. Bu koşullar altında, uydular hem özel görelilik (yüksek hız nedeniyle zamanın yavaşlaması) hem de genel görelilik (yerçekimi potansiyelinin azalması nedeniyle zamanın hızlanması) etkilerine maruz kalırlar. Uydularda yer alan atom saatleri, Dünya’daki senkronizasyonu sürdürebilmek için günlük yaklaşık 38 mikrosaniyelik zaman düzeltmesine ihtiyaç duyar. Bu düzeltmeler yapılmadığı takdirde, navigasyon sistemlerinde günlük 10 kilometreye kadar konum hataları meydana gelebilir. Bu durum, zaman genleşmesinin pratikte ne denli önemli ve etkili olduğunu göstermektedir.
Zaman genleşmesinin doğrudan ölçüldüğü deneysel çalışmalardan biri, 1971 yılında gerçekleştirilen Hafele–Keating deneyidir. Bu deneyde, dört adet yüksek hassasiyetli atom saati ticari uçaklarla Dünya'nın çevresinde doğu ve batı yönlerinde uçurulmuş, ardından yere indirilen saatlerin zaman ölçümleri sabit kalan referans saatlerle karşılaştırılmıştır. Deney sonucunda, hareket eden saatlerin gerçekten de farklı zaman ölçtükleri gözlemlenmiş ve bu durum özel ve genel görelilik kuramlarının öngörüleriyle tutarlılık göstermiştir.
Zaman genleşmesinin bir diğer ölçülebilir örneği, yüksek hızda hareket eden müon parçacıkları üzerinden gözlemlenmektedir. Müonlar, atmosferde kozmik ışınların etkisiyle oluşan kararsız parçacıklardır ve yaklaşık 2.2 mikrosaniyelik bir ortalama ömre sahiptirler. Bu süre zarfında, klasik fizik kurallarına göre, Dünya yüzeyine ulaşmaları beklenmez. Ancak yapılan ölçümler, beklenenden çok daha fazla müonun Dünya yüzeyine ulaştığını göstermektedir. Bu durum, müonların çok yüksek hızlarda hareket etmeleri nedeniyle zamanın onlar için daha yavaş akmasından kaynaklanmaktadır. Bu örnek, ikizler paradoksunun parçacık fiziğindeki karşılığı olarak değerlendirilebilir.
Sonuç olarak, ikizler paradoksu yalnızca düşünsel bir deneyle sınırlı değildir. Zaman genleşmesi, hem teknolojik uygulamalarda hem de deneysel fizik alanında ölçülebilir etkiler doğurmakta, böylece özel görelilik kuramının öngörülerinin fiziksel gerçekliklerle örtüştüğünü göstermektedir.

