
Inductance is a fundamental electrical property of a conductor that describes its ability to store energy in a magnetic field when an electric current flows through it. Represented by the symbol L, inductance is measured in henrys (H) in the SI unit system. When current flows through a conductor, it generates a surrounding magnetic field. If the current changes, the magnetic field also changes, inducing an electromotive force (EMF) or voltage across the conductor that opposes the change in current. This phenomenon, known as electromagnetic induction, forms the basis of inductance.
Inductance is categorized into two types: self-inductance and mutual inductance.
Inductance plays a crucial role in various electrical and electronic systems, including:
Inductance is measured in henrys (H), named after the American scientist Joseph Henry, who made significant contributions to electromagnetism alongside Michael Faraday.
One henry (1 H) is defined as the inductance of a circuit in which an electromotive force of 1 volt is induced when the current changes at a rate of 1 ampere per second (1 A/s):
Since the henry is a large unit, smaller units are commonly used in practical applications:
Different types of inductors are used based on application needs:
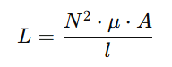
The inductance of a coil can be calculated using the formula:

Where:
The permeability (μ) is given by:

Where:
This formula is primarily applicable to solenoid-shaped inductors with uniform cross-sectional areas. More complex geometries require advanced numerical methods such as finite element analysis (FEA) to obtain accurate inductance values.
Inductance significantly affects circuit behavior, particularly in RL (resistor-inductor) and RLC (resistor-inductor-capacitor) circuits.
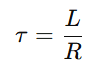
In an RL circuit, the time constant τ (tau) determines how the circuit responds to changes in voltage:



f is the frequency in Hz.
An RLC circuit exhibits resonance, which occurs at a specific resonant frequency (f₀), where the inductive reactance (X_L = ωL) equals the capacitive reactance (X_C = 1 / (ωC)).
The resonance frequency is given by:

At resonance, impedance is minimized, and maximum current flows through the circuit.
Inductance is a fundamental property of electrical conductors that enables energy storage in magnetic fields and plays a crucial role in circuit design. It is essential in applications such as transformers, energy storage devices, oscillators, and electromagnetic compatibility systems. Understanding and controlling inductance is critical for ensuring electronic and power systems' efficiency, stability, and reliability.

Henüz Tartışma Girilmemiştir
"Inductance" maddesi için tartışma başlatın
Types of Inductance
Applications of Inductance
Calculation of Inductance
Inductance in RL and RLC Circuits
RL Circuits
RLC Circuits
Bu madde yapay zeka desteği ile üretilmiştir.