This article was automatically translated from the original Turkish version.
Linear equation systems are mathematical structures in which multiple unknowns are expressed through multiple linear equations. These systems are encountered in many fields ranging from engineering and computer science to economics and physical modeling. One of the methods used to solve such systems is the Gauss-Jordan elimination method. Gauss-Jordan elimination is an algorithmic technique based on linear algebra developed to solve linear equation systems. As an extension of the classical Gaussian elimination method it completes the solution process without requiring a back-substitution step. The primary goal is to systematically apply row operations to the given system of equations to obtain the unknowns in explicit form.
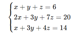
A linear equation system can be written in the following form:
<span class="katex"><span class="katex-html" aria-hidden="true"><span class="base"><span class="strut" style="height:0.6833em;"></span><span class="mord mathnormal">A</span><span class="mspace" style="margin-right:0.2222em;"></span><span class="mbin">∗</span><span class="mspace" style="margin-right:0.2222em;"></span></span><span class="base"><span class="strut" style="height:0.6306em;"></span><span class="mord overline"><span class="vlist-t"><span class="vlist-r"><span class="vlist" style="height:0.6306em;"><span style="top:-3em;"><span class="pstrut" style="height:3em;"></span><span class="mord"><span class="mord mathnormal">x</span></span></span><span style="top:-3.5506em;"><span class="pstrut" style="height:3em;"></span><span class="overline-line" style="border-bottom-width:0.04em;"></span></span></span></span></span></span><span class="mspace" style="margin-right:0.2778em;"></span><span class="mrel">=</span><span class="mspace" style="margin-right:0.2778em;"></span></span><span class="base"><span class="strut" style="height:0.8944em;"></span><span class="mord overline"><span class="vlist-t"><span class="vlist-r"><span class="vlist" style="height:0.8944em;"><span style="top:-3em;"><span class="pstrut" style="height:3em;"></span><span class="mord"><span class="mord mathnormal">b</span></span></span><span style="top:-3.8144em;"><span class="pstrut" style="height:3em;"></span><span class="overline-line" style="border-bottom-width:0.04em;"></span></span></span></span></span></span></span></span></span>

The augmented matrix of this system is:

Through row operations it is reduced to the following RREF form:

This directly yields the solution: x = 1, y = 2, z = 3
The Gauss-Jordan elimination method is directly supported by many mathematical software packages and programming languages:
Thanks to these tools solving large-scale linear systems computing inverse matrices or analyzing linear independence can be easily accomplished.
No Discussion Added Yet
Start discussion for "Gauss-Jordan Elimination Method" article
Mathematical Framework and Theoretical Foundations
Application in Computational Settings