Optical flow is a fundamental technique used in the field of image processing and computer vision to detect and track motion. Optical flow algorithms analyze moving objects and camera movements in images to extract information about the speed and direction of these objects.
Optical flow refers to the motion formed by the displacement of pixels in sequential images. Due to the movement of objects or the camera, the positions of pixels change between two consecutive frames. Optical flow algorithms aim to calculate motion vectors for each pixel using these displacements.
Optical flow is based on two main assumptions:
These assumptions form the mathematical model of optical flow.
The optical flow equations primarily rely on two main approaches: Lucas-Kanade and Horn-Schunck algorithms.
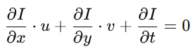
The fundamental equation of optical flow is as follows:

Here:
This equation is insufficient to solve a two-dimensional velocity field, so additional assumptions and methods are used to find a solution.
Different methods have been developed to compute optical flow:
The Lucas-Kanade algorithm calculates optical flow vectors locally in small regions, assuming a linear motion within a small window. It uses the least-squares method to estimate motion vectors.
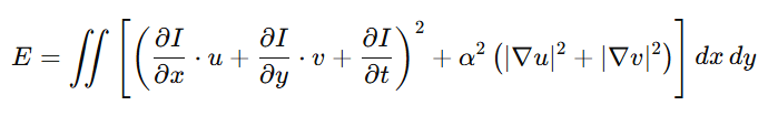
The Horn-Schunck algorithm solves the optical flow field over the entire image by employing a "smoothness" assumption. An energy function is defined to optimize the motion field under the assumption that motion changes smoothly:

Where α is a constant that controls the smoothness of the motion field.
Optical flow is widely used in various application areas:
A simple optical flow implementation can be achieved using Python and OpenCV. This example demonstrates tracking moving objects using the Lucas-Kanade algorithm:
Optical flow is a powerful technique for extracting motion information from images. It is widely used in object tracking, autonomous vehicles, robotics, and security applications. However, to improve accuracy for high-speed and large movements, combining it with advanced algorithms may be necessary.
Forsyth, D. A., & Ponce, J. (2012). Computer Vision: A Modern Approach. Pearson.
Horn, B. K. P., & Schunck, B. G. (1981). Determining Optical Flow. Artificial Intelligence, 17(1-3), 185-203.
Lucas, B. D., & Kanade, T. (1981). An Iterative Image Registration Technique with an Application to Stereo Vision. In Proceedings of the 7th International Joint Conference on Artificial Intelligence (Vol. 2, pp. 674-679).
Szeliski, R. (2010). Computer Vision: Algorithms and Applications. Springer Science & Business Media.
Henüz Tartışma Girilmemiştir
"Optical Flow: A Critical Concept in Motion Detection" maddesi için tartışma başlatın
Basics of Optical Flow
Motion Field and Optical Flow Model
Optical Flow Equations and Mathematical Modeling
Fundamental Equation of Optical Flow
Optical Flow Algorithms
Lucas-Kanade Algorithm
Horn-Schunck Algorithm
Applications of Optical Flow
Advantages and Disadvantages of Optical Flow
Advantages
Disadvantages
Implementation of Optical Flow in Python