This article was automatically translated from the original Turkish version.
In contemporary applications, Multi-Criteria Decision Making (MCDM) problems have become one of the fundamental tools for managing complex and multidimensional decision processes across various sectors. Determining the relative importance of criteria is a critical step in these processes. The CRITIC (Criteria Importance Through Intercriteria Correlation) method is an effective, data-driven technique that enables the objective determination of criterion weights.
The CRITIC method assigns weights by considering both the variation within each criterion and the inter-criteria relationships in the decision matrix. The fundamental steps of the method are as follows:
Initial decision matrix:

Decision Matrix (Akçakanat et al., 2018)
Normalization: The decision matrix is normalized to enable comparison among criteria measured in different units. The min-max method is commonly used.

Normalization (Akçakanat et al., 2018)
Calculation of Standard Deviation: The standard deviation of each criterion is computed. Standard deviation serves as an indicator of the amount of information provided by a criterion; a higher standard deviation indicates that the criterion is more discriminative in the decision process.

Standard Deviation Value (Akçakanat et al., 2018)
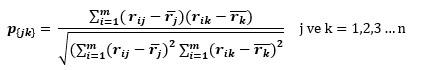
Construction of Correlation Matrix: Correlation coefficients between criteria are calculated. This measures the degree of dependency among criteria.

Degree of Relationship Between Criteria (Akçakanat et al., 2018)
Calculation of Information Quantity: For each criterion, the information quantity is computed as the product of its standard deviation and the sum of its correlation coefficients with all other criteria. The sum of correlations reflects the extent to which a criterion’s unique information is diminished by redundancy with other criteria.

Calculation of Information Quantity (Akçakanat et al., 2018)
Determination of Weights: The weight of each criterion is determined as the ratio of its calculated information quantity to the total information quantity across all criteria.

Calculation of Criterion Weights (Akçakanat et al., 2018)
This process ensures a more objective and accurate determination of weights by accounting for both the diversity and mutual dependencies among criteria.
The CRITIC method is particularly preferred in the following types of problems:
In MCDM problems, the importance of criteria is often based on the subjective judgments of decision makers. CRITIC reduces this subjectivity by providing data-driven weights, making it suitable for applications such as supply chain management, investment decisions, and supplier selection.
In situations where criteria exhibit high correlation, the informational content of some criteria may be overshadowed by others. CRITIC addresses this by assigning higher weights to criteria that provide unique information.
Environmental decision-making processes involve complex relationships among multiple criteria. CRITIC is preferred for objectively determining criterion weights in energy projects, environmental risk assessments, and sustainability analyses.
Financial performance evaluations typically involve numerous financial indicators. The CRITIC method provides a more objective assessment by considering the interrelationships among these indicators.
When evaluating new technologies or products, a large number of technical and commercial criteria are considered. CRITIC determines the weights of these criteria by analyzing their inter-correlations.
The CRITIC method is an effective tool for the objective weighting of criteria in multi-criteria decision-making processes. By incorporating both the standard deviation and mutual correlations of criteria, it reduces subjectivity in decision-making and delivers reliable outcomes. It is widely preferred in complex systems with high inter-criteria dependency, as well as in diverse fields such as sustainability, finance, and technology evaluation.
Key Steps of the CRITIC Method
Problems Where the CRITIC Method Is Preferred
Multi-Criteria Decision Making Problems
Systems with High Inter-Criteria Dependency
Sustainability and Environmental Assessment
Financial and Economic Analysis
Technology and Product Evaluation